918博天娱乐官网

Current position:Products
PharmaceuticalDynamic protection
guobang
Products
Establish business, develop a country
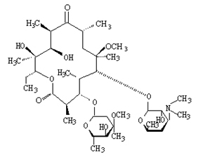
Clarithromycin

English Name:Clarithromycin
Molecular formula:C38H69NO
CAS NO.:81103-11-9 

Clarithromycin
Back
Related products
Name View details
Azithromycin View details
Roxithromycin View details
Total 2 Records
 Page
【网站地图】【sitemap】